[磐安]如果以光速的99.99%飞行100光年,多久时间能到?
![[磐安]如果以光速的99.99%飞行100光年,多久时间能到?](https://image.uc.cn/s/wemedia/s/upload/2020/6074c4a1666f198f3ae185d54245c8a0.jpg)
文章图片
![[磐安]如果以光速的99.99%飞行100光年,多久时间能到?](https://image.uc.cn/s/wemedia/s/upload/2020/745258b4284352544b7d86fe0cfbff34.jpg)
文章图片
![[磐安]如果以光速的99.99%飞行100光年,多久时间能到?](https://image.uc.cn/s/wemedia/s/upload/2020/dd2f689b707de0ede9eb118ab5028d95.jpg)
文章图片
![[磐安]如果以光速的99.99%飞行100光年,多久时间能到?](https://image.uc.cn/s/wemedia/s/upload/2020/55a477f113221a35a8a51e7a6eada3d3.jpg)
文章图片
宇宙浩瀚无垠 , 不同恒星系统之间的距离非常遥远 , 目前的人类还无法进行星际飞行 。 倘若未来人类可以造出亚光速飞船 , 我们就有能力飞越广袤的星际空间 , 去往其他恒星系统 。
那么 , 亚光速飞船可以让寿命有限的人类在宇宙中走多远?举个具体的例子 , 如果以光速的99.99%飞行100光年 , 需要多少时间?
这个问题从中学物理的角度来看似乎很简单 , 不就是距离除以速度来算出时间嘛 。 由于1光年是以光速前进1年的距离 , 很容易就能算出来 , 亚光速飞行100光年所需的时间为100年多一点 。 然而 , 爱因斯坦的相对论告诉我们 , 事情并没有这么简单 。
相对论表明 , 宇宙各个地方的时间流逝速率并不是绝对一致的 , 跟参照系的选择有关 。 在速度越快或者引力越强的参照系中 , 时间流逝速率越慢 。 根据动钟变慢效应 , 当速度为v的运动时钟的时间走过了ΔT时 , 相对静止的时钟所走过的时间为Δt , 它们之间有着如下的关系:
上式中的c表示光速 。
由此可见 , 当速度越快时 , 动钟的时间ΔT越小于静钟的时间Δt , 这意味着动钟时间走得越慢 。 而当速度无限趋于光速时 , 动钟所走过的时间会接近于零 , 这意味着动钟的时间几乎停止流逝 。 但动钟的速度不能达到光速 , 否则上式的分母变为零 , 公式将会失去意义 。
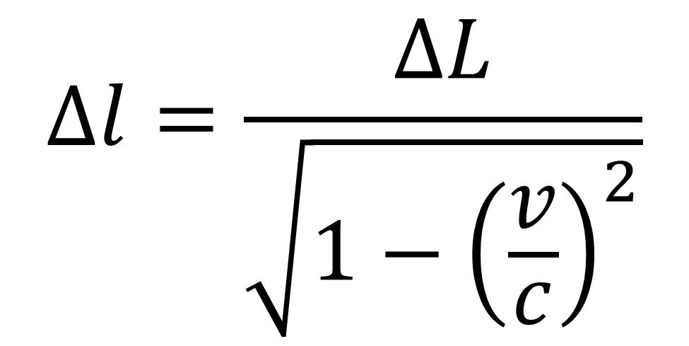
另一方面 , 运动参照系所测得的距离ΔL与相对静止参照系所测得的距离Δl也是不一样的 , 其关系如下:
随着速度的增加 , 运动参照系的距离会逐渐缩短 , 这就是动尺收缩效应 。 当速度无限趋于光速时 , 空间会随之收缩到接近于零 。 简单来说 , 对于快速运动的宇宙飞船来说 , 运动距离会缩短 。
由于相对论效应的存在 , 每当谈及时间和空间时 , 需要明确究竟是哪一个参照系 。 在本问题中 , 100光年的距离要分为两种情况讨论 。
第一种情况 , 100光年的距离是相对于地球参照系而言 。 举个例子 , 土司空这颗恒星距离地球差不多100光年 , 这是基于地球参照系测出的结果 。 如果宇宙飞船以光速的99.99%从地球飞往土司空 , 那么 , 地球参照系所测得的飞行时间会略大于100年 。 但根据钟慢效应 , 宇宙飞船上的时间只过了大约1.4年 。
然而 , 这并不意味着宇宙飞船用1.4年的时间飞行了100光年的距离 , 宇宙飞船其实并没有超光速 。 这是因为对于宇宙飞船来说 , 从地球到土司空的距离缩短为了1.4光年 , 所以用亚光速飞行只要大约1.4年的时间 。 注意 , 时间和空间要对应各自的参照系 。
第二种情况 , 100光年的距离是相对于宇宙飞船参照系而言 。 在这种情况下 , 宇宙飞船上的观测者会认为飞行时间为100年多一点 。 但对于地球上的观测者来说 , 宇宙飞船的飞行时间达到了7071年 , 飞行距离则是7071光年 。
总之 , 当速度足够接近光速 , 相对论效应变得不可忽略时 , 时间和空间都需要选择对应的参照系 。 在各自参照系中 , 都不会出现超光速 , 时间都是正常流逝 , 空间也没有收缩 , 观测者感受不到什么不同 。 只是在比较不同参照系时 , 就会发现时间和空间原来并非绝对一致 。
推荐阅读
- 科学家■如果宇宙由奇点大爆炸而来,那么奇点又是如何来的?
- 火星一号|如果全用完怎么办?,全球每天用掉100亿个二维码
- 『黑洞』如果将宇宙中所有原子的原子核和电子都紧挨在一起排列,有多大?
- 『绝对火力』如果真的有异形,那么人们有办法对付吗?
- 支付宝:花呗借出3000亿,如果用户欠债不还咋办?马云的催债方式让人死心
- 天文在线|还有多少陆地在水面上?,如果海平面上升一千米
- 幻化成蝶|那么恭喜你,你被黑客盯上了,如果你的手机出现这三种情况
- 「」如果世上只剩一对男女,需要多久才能有77亿人口,答案令人唏嘘
- 科学家:如果太阳不发热,地球温度会是多少?科学家:可能你不敢相信!
- 美丽一点|时间停止量子纠缠比光速还快,光速被限速了?,超光速现象揭秘
