相对论▲假如有一根38万公里的长杆,旋转一圈,那么另一头就超光速了?

文章图片

这个问题属于相对论科普问题中的元老级别了 , 先说结论 , 长杆的任意一部分都不可能超过光速 , 甚至连达到光速都是不可能的 。
理论上 , 以长杆为半径做圆周运动 , 边缘的线速度等于角速度与半径之乘积 , 这也就意味着不管角速度由多小 , 只要长杆的长度足够长 , 那么边缘线速度的大小都能趋向于无穷 。 像题目中说的那样 , 长杆的长度是38万千米(这不就是月地平均距离吗) , 只要我们轻轻一挥长杆 , 那么长杆的另一端线速度就很容易超光速了(大于每秒30万公里)
【相对论▲假如有一根38万公里的长杆,旋转一圈,那么另一头就超光速了?】然而这可能吗?
很明显 , 这是明显违背物理定律的事情 , 在狭义相对论中 , 物质的速度被规定不能超越光速 , 只有那些静止质量为零的物质才能以光速移动 , 否则就将违背因果律 。
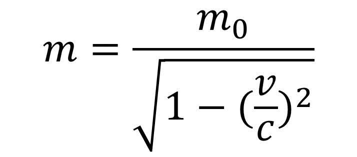
在狭义相对论中 , 有一条质量随速度变化的推论 , 它告诉我们如果一个物体的速度无限接近光速 , 那么物质的质量将会无穷尽的增大 , 显而易见的是 , 质量无穷的物体将需要无穷多的动力进一步加速 , 那么这无穷尽的动力哪来呢?没有地方来 。
所以说不论你多么长的长杆 , 任何部分都不能超光速 , 如果强行挥动的话 , 结局只有一个:长杆断裂解体 。
推荐阅读
- 智能相对论@长沙市启动智能汽车产业“火炬计划”和“头羊计划”
- 「车家号」会不会是压死蔚来的最后一根稻草?,车主都说“真香”的换电站
- 「银河系」宇宙最快星系,速度可达2.3倍光速,为什么没有打破相对论?
- 量子位@猎豹的最后一根救命稻草,人工智能
- #数据线#只需一根数据线,就能让电脑连接网络,而且网速非常的快
- #相对论#有哪些已经被证明是真的,而你又无法接受的科学理论?
- 中微子▲用一根“夸克级”的细丝,快速切割人体,会有什么后果?
- 智能相对论▲“八爪鱼”助力“智能驾驶第一城”加速跑
- 「智能安防专委会王明」直径为几十微米或几微米,比一根头发丝还要细,光纤的特点特性
- #钟铭聊科学#为什么科学家非要统一相对论和量子力学?没统一会带来哪些后果?
